Ecuación de una onda cuando cambia su velocidad pero no su frecuencia (5829)

, por F_y_Q

Una onda que tiene una ecuacion, en unidades SI:

y = 0.4\cdot cos \left[\pi \left(\frac{x}{2} - \frac{t}{4}\right) \right]

Pasa del medio en el que se propagan a otro donde su velocidad se duplica y su amplitud se reduce a la mitad. Escribe la ecuación de propagación de la onda en el segundo medio, considerando que la frecuencia permanece constante.

P.-S.

La ecuación general de una onda de ese tipo es:

y  = A\cdot cos (\omega \cdot t - k\cdot x)

Por comparación puedes ver que:

\omega  = \frac{\pi}{4} y k  = \frac{\pi}{2}

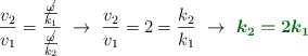
La velocidad de propagación es igual al cociente entre la velocidad angular y el número de ondas. Si haces el cociente entre las velocidades de propagación entre el primer y segundo medio:

\frac{v_2}{v_1}  = \frac{\frac{\omega_1}{k_1}}{\frac{\omega_2}{k_2}}

La frecuencia angular es \omega  = 2\pi\cdot f y el enunciado dice que la frecuencia debe ser igual, por lo tanto \omega_1  = \omega_2 y reescribes la ecuación anterior:

\frac{v_2}{v_1} = \frac{\frac{\cancel{\omega}}{k_1}}{\frac{\cancel{\omega}}{k_2}}\ \to\ \frac{v_2}{v_1} = 2 = \frac{k_2}{k_1}\ \to\ \color[RGB]{2,112,20}{\bm{k_2 = 2k_1}}

Ya puedes escribir la ecuación de propagación de la onda en el segundo medio:

\fbox{\color[RGB]{192,0,0}{\bm{y = 0.2\cdot cos \left[\pi \left(x - \frac{t}{4}\right) \right]}}}