Masa de hielo que se funde en el interior de un recipiente de cobre (5632)

, por F_y_Q

Se tiene un cuadrado de cobre, aislado térmicamente, de 100 cm de arista y de 3 cm de espesor. Si en el exterior se mantiene una temperatura constante de 100\ ^oC y en el interior se pone hielo a 0\ ^oC, ¿cuál será la masa del hielo fundido en 1 000 s?

Conductividad térmica del cobre: c = 380 \ \textstyle{W\over m\cdot K} ; l_f(h) = 334 \ \textstyle{kJ\over kg}

P.-S.

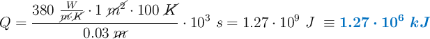
La diferencia de temperatura entre el interior y el exterior del recipiente es de 100 K por lo que puedes calcular el calor que se transfiere al hielo a partir de la ecuación del flujo de calor a través de la pared de cobre:

\phi = \frac{Q}{\Delta t} = \frac{c\cdot A\cdot \Delta T}{d}\ \to\ \color[RGB]{2,112,20}{\bm{Q = \frac{c\cdot A\cdot \Delta T}{d}\cdot \Delta t}}

Consideras el intervalo de tiempo de los mil segundos:

Q = \frac{380\ \frac{W}{\cancel{m}\cdot \cancel{K}}\cdot 1\ \cancel{m^2}\cdot 100\ \cancel{K}}{0.03\ \cancel{m}}\cdot 10^3\ s = 1.27\cdot 10^9\ J\ \equiv \color[RGB]{0,112,192}{\bm{1.27\cdot 10^6\ kJ}}

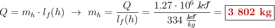
El calor que has calculado es el que se transfiere al hielo y provoca su fusión. Si lo igualas al calor de fusión podrás conocer la masa de hielo que se funde:

Q = m_h\cdot l_f(h)\ \to\ m_h = \frac{Q}{l_f(h)} = \frac{1.27\cdot 10^6\ \cancel{kJ}}{334\ \frac{\cancel{kJ}}{kg}} = \fbox{\color[RGB]{192,0,0}{\bf 3\ 802\ kg}}