Altura de un acantilado desde el que una gaviota deja caer un pescado

, por F_y_Q

Una gaviota se encuentra sobre un acantilado y deja caer un pescado que llega al agua 12 segundos después. Determina la velocidad con la que llega el pescado al agua, el desplazamiento realizado, la altura del acantilado y la velocidad media del pescado que cae.

P.-S.

Se trata de un ejercicio de caída libre en el que conocemos el tiempo de caída, la aceleración a la que está sometido el pescado y la velocidad inicial (que es cero).
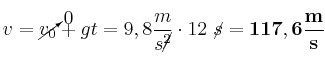
Velocidad con la que llega al agua:

v = \cancelto{0}{v_0} + gt = 9,8\frac{m}{s\cancel{^2}}\cdot 12\ \cancel{s} = \bf 117,6\frac{m}{s}


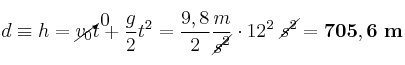
Altura del acantilado y desplazamiento:
Si lo consideramos un movimiento rectilíneo, tienen que coincidir el desplazamiento con la altura del acantilado:

d\equiv h = \cancelto{0}{v_0}t + \frac{g}{2}t^2 = \frac{9,8}{2}\frac{m}{\cancel{s^2}}\cdot 12^2\ \cancel{s^2} = \bf 705,6\ m


Velocidad media:

v_m = \frac{d}{t} = \frac{705,6\ m}{12\ s} = \bf 58,8\frac{m}{s}