Distancia de frenado de un automóvil que se mueve por una pendiente (5379)

, por F_y_Q

Un automóvil sube por una pendiente a 65 km/h, cuando el conductor aplica los frenos en el punto A haciendo que todas las ruedas se detengan, tal como se muestra en la figura. Si el coeficiente de rozamiento es 0.6, determina:

a) La distancia de parada cuando marcha cuesta arriba.

b) La distancia de parada cuando marcha cuesta abajo.

Coche que frena subiendo una pendiente

P.-S.

La velocidad del automóvil, expresada en unidades SI, es:

65\ \frac{\cancel{km}}{\cancel{h}}\cdot \frac{10^3\ m}{1\ \cancel{km}}\cdot \frac{1\ \cancel{h}}{3.6\cdot 10^3\ s} = \color[RGB]{0,112,192}{\bm{18\ \frac{m}{s}}}

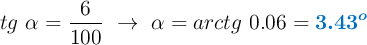
El ángulo de la pendiente por la que se desplaza es:

tg\ \alpha = \frac{6}{100}\ \to\ \alpha = arctg\ 0.06 = \color[RGB]{0,112,192}{\bm{3.43^o}}

Si descompones el peso del vehículo en las componentes X e Y, obtienes:

\left {\color[RGB]{2,112,20}{\bm{p_x = m\cdot g\cdot sen\ \alpha}}} \atop {\color[RGB]{2,112,20}{\bm{p_y = m\cdot g\cdot cos\ \alpha}}} \right \}

a) La aceleración que sufre el coche al accionar los frenos tendrá dos componentes en sentido descendente:

-p_x - F_R = m\cdot a\ \to\ -\cancel{m}\cdot g\cdot sen\ \alpha - \mu\cdot \cancel{m}\cdot g\cdot cos\ \alpha = \cancel{m}\cdot a\ \to\ \color[RGB]{2,112,20}{\bm{a = -g(sen\ \alpha + \mu\cdot cos\ \alpha)}}

Sustituyes en la ecuación y calculas:

a = -9.8 (sen\ 3.43^o + 0.6\cdot cos\ 3.43^o)\ \frac{m}{s^2} = \color[RGB]{0,112,192}{\bm{-6.45\ \frac{m}{s^2}}}

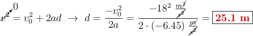
La distancia que recorre antes de deternerse es:

\cancelto{0}{v^2} = v_0^2 + 2ad\ \to\ d = \frac{- v_0^2}{2a} = \frac{-18^2\ \frac{m\cancel{^2}}{\cancel{s^2}}}{2\cdot (-6.45)\ \frac{\cancel{m}}{\cancel{s^2}}} = \fbox{\color[RGB]{192,0,0}{\bf 25.1\ m}}


b) Si el automóvil se mueve cuesta abajo, la fuerza de rozamiento tendrá sentido ascendente y la aceleración resultante cambia:

p_x - F_R = m\cdot a\ \to\ \cancel{m}\cdot g\cdot sen\ \alpha - \mu\cdot \cancel{m}\cdot g\cdot cos\ \alpha = \cancel{m}\cdot a\ \to\ \color[RGB]{2,112,20}{\bm{a = g(sen\ \alpha - \mu\cdot cos\ \alpha)}}

Al igual que antes, sustituyes y calculas:

a = 9.8 (sen\ 3.43^o - 0.6\cdot cos\ 3.43^o)\ \frac{m}{s^2} = \color[RGB]{0,112,192}{\bm{-5.28\ \frac{m}{s^2}}}

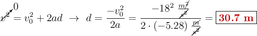
La distancia que recorre antes de deternerse, en este caso, será:

\cancelto{0}{v^2} = v_0^2 + 2ad\ \to\ d = \frac{- v_0^2}{2a} = \frac{-18^2\ \frac{m\cancel{^2}}{\cancel{s^2}}}{2\cdot (-5.28)\ \frac{\cancel{m}}{\cancel{s^2}}} = \fbox{\color[RGB]{192,0,0}{\bf 30.7\ m}}