Fuerza sobre un automóvil y relación peso/potencia (5684)

, por F_y_Q

Un automóvil, de masa de 926 kg y 99 HP de potencia, desarrolla una velocidad media de 72\ km\cdot h^{-1}. Determina la relación peso/potencia y la fuerza que se ejerce sobre el automóvil.

P.-S.

Es muy importante que las unidades sean homogéneas, por lo que debes usar unidades SI:

v = 72\ \frac{\cancel{km}}{\cancel{h}}\cdot \frac{10^3\ m}{1\ \cancel{km}}\cdot \frac{1\ \cancel{h}}{3.6\cdot 10^3\ s} = \color[RGB]{0,112,192}{\bm{20\ \frac{m}{s}}}

99\ \cancel{HP}\cdot \frac{745.7\ W}{1\ \cancel{HP}} = \color[RGB]{0,112,192}{\bm{7.38\cdot 10^4\ W}}

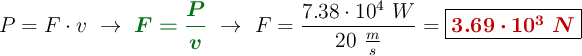
La fuerza ejercida sobre el automóvil la puedes obtener a partir de su velocidad y su potencia:

P = F\cdot v\ \to\ {\color[RGB]{2,112,20}{\bm{F = \frac{P}{v}}}}\ \to\ F = \frac{7.38\cdot 10^4\ W}{20\ \frac{m}{s}} = \fbox{\color[RGB]{192,0,0}{\bm{3.69\cdot 10^3\ N}}}


El peso del automóvil es:

p = m\cdot g = 926\ kg\cdot 9.8\ \frac{m}{s^2} = \color[RGB]{0,112,192}{\bm{9.08\cdot 10^3\ N}}

La relación que debes calcular es:

{\color[RGB]{2,112,20}{\bm{c = \frac{p}{P}}}}\ \to\ c = \frac{9.08\cdot 10^3\ N}{7.38\cdot 10^4\ W} = \fbox{\color[RGB]{192,0,0}{\bm{0.123\ s\cdot m^{-1}}}}