Aceleración mínima para evitar un atropello y tiempo de frenado

, por F_y_Q

Un auto se desplaza con una velocidad de 15 m/s. Si a 20 metros del auto el conductor detiene la marcha para no chocar con un perro:

a) ¿Cuál es la mínima aceleracion de frenado del auto que evitará el choque?

b) ¿Cuánto tiempo demorará en frenar el auto?

c) Realiza las gráficas x frente t y v frente t hasta que el auto detuvo su marcha.

P.-S.

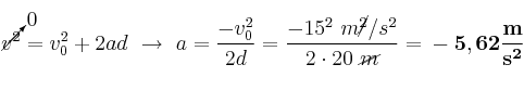
a) La aceleración mínima con la que tiene que frenar el coche es:

\cancelto{0}{v^2} = v_0^2 + 2ad\ \to\ a = \frac{- v_0^2}{2d} = \frac{- 15^2\ m\cancel{^2}/s^2}{2\cdot 20\ \cancel{m}} = \bf - 5,62\frac{m}{s^2}


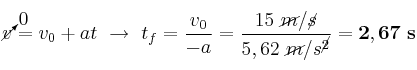
b) El tiempo de frenado es:

\cancelto{0}{v} = v_0 + at\ \to\ t_f = \frac{v_0}{-a} = \frac{15\ \cancel{m}/\cancel{s}}{5,62\ \cancel{m}/s^\cancel{2}}} = \bf 2,67\ s


c) Las gráfica se trazan con las ecuaciones que expresan la distancia o la velocidad en función del tiempo.
La gráfica d vs t (la puedes ver en detalle si clicas sobre la miniatura) es:

Observa que llega al valor 20 m y en ese punto debería acabar la gráfica. La he dejado un poco más para que se pueda ver que representa un máximo en la función.
La gráfica v vs t es (que también verás en más detalle clicando sobre la miniatura) es: