Volumen de un cuerpo sabiendo la masa y su densidad

, por F_y_Q

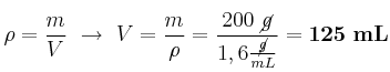
Un cuerpo de 200 g, posee una densidad relativa de 1,6\ \textstyle{g\over mL}. Determina el volumen que ocupa dicho cuerpo.

P.-S.

A partir de la ecuación de la densidad podemos despejar el valor del volumen y calcular:

\rho = \frac{m}{V}\ \to\ V = \frac{m}{\rho} = \frac{200\ \cancel{g}}{1,6\frac{\cancel{g}}{mL}} = \bf 125\ mL