Ampliación: volumen específico (5694)

, por F_y_Q

Un tanque cilíndrico tiene una masa 100 kg y se usó para medir la masa de una sustancia viscoelástica en la construcción de una carretera nacional hecha de asfalto. La medida de la masa del recipiente lleno fue de 200 kg, en una balanza ubicada en un peaje. Si el volumen que alcanza esta sustancia líquida fue el de todo el tanque, cuyas medidas internas son de 12 cm de diámetro y 5 pies de alto. ¿Qué volumen específico tiene la sustancia líquida?

P.-S.

El volumen específico se define como el volumen que ocupa un sistema por unidad de masa, es decir, el volumen específico es la inversa de la densidad del sistema:

\color[RGB]{2,112,20}{\bm{V_{esp} = \frac{V}{m} = \frac{1}{\rho}}}

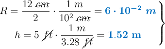
El volumen de la sustancia será igual al volumen del cilindro. Como las unidades no son homogéneas, es buena idea usar unidades SI, por lo que debes expresar el radio y la altura del cilindro en «m»:

\left R = \dfrac{12\ \cancel{cm}}{2}\cdot \dfrac{1\ m}{10^2\ \cancel{cm}} = {\color[RGB]{0,112,192}{\bm{6\cdot 10^{-2}\ m}}} \atop h = 5\ \cancel{ft}\cdot \dfrac{1\ m}{3.28\ \cancel{ft}} = {\color[RGB]{0,112,192}{\bf 1.52\ m}} \right \}

El volumen del cilindro será:

V = \pi\cdot R^2\cdot h = 3.14\cdot (6\cdot 10^{-2})^2\ m^2\cdot 1.52\ m = \color[RGB]{0,112,192}{\bm{1.72\cdot 10^{-2}\ m^3}}

La masa de la sustancia se obtiene por diferencia:

m = (200 - 100)\ kg = \color[RGB]{0,112,192}{\bf 100\ kg}

El volumen específico será:

V_{esp} = \frac{V}{m} = \frac{1.72\cdot 10^{-2}\ m^3}{100\ kg} = \fbox{\color[RGB]{192,0,0}{\bm{1.72\cdot 10^{-4}\ \frac{m^3}{kg}}}}