Tiempo que tardan en cruzarse dos trenes con MRUA en sentido contrario (5707)

, por F_y_Q

Dos trenes de 200 m y 400 m de longitud avanzan en vías paralelas y sentidos opuestos, siendo sus velocidades de 12 \ \textstyle{m\over s} y 18 \ \textstyle{m\over s} respectivamente y sus aceleraciones iguales y constantes de 3\ \textstyle{m\over s^2}. Halla el tiempo que demoran los trenes en cruzarse completamente.

P.-S.

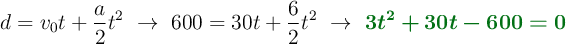
Vamos a usar un «truco» para plantear el problema. Suponemos el instante en el que los dos trenes están uno junto al otro y uno de ellos está quieto, siendo la velocidad del otro la suma de las velocidades (velocidad relativa por ser velocidades con sentido contrario) y la aceleración la suma de las aceleraciones por el mismo motivo. La distancia que habrá de recorrer el tren que consideramos en movimiento sería la suma de las longitudes de los trenes:

d = v_0t + \frac{a}{2}t^2\ \to\ 600 = 30t + \frac{6}{2}t^2\ \to\ \color[RGB]{2,112,20}{\bm{3t^2 + 30t - 600 = 0}}

Hay que resolver la ecuación de segundo grado para obtener el tiempo que tardarán en cruzarse. Se obtienen dos valores distintos, pero solo uno de ellos es positivo:

t = \frac{-b\pm \sqrt{b^2 - 4ac}}{2a} = \frac{-30\pm \sqrt{900 + 7\ 200}}{6} = \fbox{\color[RGB]{192,0,0}{\bf 10\ s}}