Distancia a partir de la fuerza y el trabajo en unidades técnicas (5525)

, por F_y_Q

Con 80 gf se efectúa un trabajo de 4 kgm. ¿Qué distancia se ha recorrido?

P.-S.

La unidades dadas en el ejercicio son del sistema técnico y debes ser capaz de transformarlas al Sistema Internacional. Las equivalencias las usas como factores de conversión:

80\ \cancel{gf}\cdot \frac{9.8\cdot 10^{-3}\ N}{1\ \cancel{gf}}= \color[RGB]{0,112,192}{\bf 0.784\ N}}

4\ \cancel{kgm}\cdot \frac{9.8\ J}{1\ \cancel{kgm}}= \color[RGB]{0,112,192}{\bf 39.2\ J}}

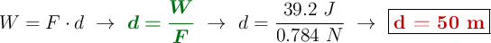
El trabajo es el producto de la fuerza por el desplazamiento, despejando y sustituyendo puedes calcular la distancia:

W = F\cdot d\ \to\ {\color[RGB]{2,112,20}{\bm{d = \frac{W}{F}}}}\ \to\ d= \frac{39.2\ J}{0.784\ N}\ \to\ \fbox{\color[RGB]{192,0,0}{\bf d = 50\ m}}