Cuerpo que se deja caer libremente desde un avión, conocida la altura

, por F_y_Q

a) ¿Qué tiempo tarda en tocar tierra un cuerpo que cae libremente desde un avión que vuela a 1 950 m de altura, suponiendo que cae verticalmente?

b) ¿Con qué velocidad, expresada en km/h, llega al suelo?

c) ¿A qué altura debería volar para que la velocidad de impacto con el suelo fuera de 800 km/h?

P.-S.

El ejercicio se puede resolver a partir de ecuaciones de movimiento (cinemática) o por medio de criterios energéticos. Lo voy a resolver de la primera de las maneras.

a) Dado que la velocidad inicial es cero (caída libre) y que conocemos la altura:

h  = \cancelto{0}{v_0} + \frac{1}{2}gt^2

Despejando y calculando:

t = \sqrt{\frac{2h}{g}} = \sqrt{\frac{2\cdot 1\ 950\ \cancel{m}}{10\ \frac{\cancel{m}}{s^2}}} = \fbox{\color[RGB]{192,0,0}{\bf 19.75\ s}}


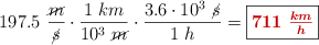
b) Bastará con sustituir el tiempo calculado en la ecuación de la velocidad:

v = \cancelto{0}{v_0} + gt\ \to\ v = 10\ \frac{m}{s\cancel{^2}}\cdot 19.75\ \cancel{s} = 197.5\ \frac{m}{s}

Pero debemos expresar el resultado en km/h por lo que hacemos la conversión:

197.5\ \frac{\cancel{m}}{\cancel{s}}\cdot \frac{1\ km}{10^3\ \cancel{m}}\cdot \frac{3.6\cdot 10^3\ \cancel{s}}{1\ h} = \fbox{\color[RGB]{192,0,0}{\bm{711\ \frac{km}{h}}}}


c) Ahora usamos la ecuación que relaciona la velocidad final con la altura:

v^2 = \cancelto{0}{v_0^2} + 2gh^{\prime}

Pero antes debemos convertir a m/s la velocidad final que nos indican, para que la ecuación sea homogénea:

800\ \frac{\cancel{km}}{\cancel{h}}\cdot \frac{10^3\ m}{1\ \cancel{km}}\cdot \frac{1\ \cancel{h}}{3.6\cdot 10^3\ s} = 222.2\ \frac{m}{s}

Despejamos y sustituimos:

h^{\prime} = \frac{v^2}{2g} = \frac{222.2^2\ \frac{m\cancel{^2}}{\cancel{s^2}}}{2\cdot 10\frac{\cancel{m}}{\cancel{s^2}}} = \fbox{\color[RGB]{192,0,0}{\bf 2\ 469\ m}}