Velocidad media expresada en función de las velocidades en cada tramo (5537)

, por F_y_Q

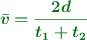
Luis Fernando va en línea recta desde su casa a la casa de Ana María con una velocidad constante v _1 y regresa nuevamente a su casa con una velocidad constante v _2. Verifica que la rapidez promedio (\bar  v) en el recorrido completo de Luis Fernando fue:

\bar v  = \frac{2\cdot v_1\cdot v_2}{(v_1 + v_2)}

P.-S.

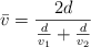
La rapidez promedio de Luis Fernando será la distancia total que recorre, que es el doble de la distancia entre las dos casas (ida y vuelta), dividido por el tiempo total que tarda en hacerlo (t_1  + t_2):

\color[RGB]{2,112,20}{\bm{\bar v  = \frac{2d}{t_1 + t_2}}}

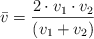
Expresas cada uno de los tiempos en función de la distancia y la velocidad de cada tramo y sustituyes en la ecuación:

v = \frac{d}{t}\ \to\ \color[RGB]{2,112,20}{\bm{t = \frac{d}{v}}}

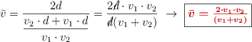
\bar v =  \frac{2d}{\frac{d}{v_1} + \frac{d}{v_2}}

Si operas con esta nueva ecuación:

\bar v = \frac{2d}{\dfrac{v_2\cdot d + v_1\cdot d}{v_1\cdot v_2}} = \frac{2\cancel{d}\cdot v_1\cdot v_2}{\cancel{d}(v_1 + v_2)}\ \to\ \fbox{\color[RGB]{192,0,0}{\bm{\bar v = \frac{2\cdot v_1\cdot v_2}{(v_1 + v_2)}}}}