Potencia de un motor en distintos casos de masas y tiempos de trabajo

, por F_y_Q

Se instala un motor en lo alto de un edificio para realizar las siguientes tareas:

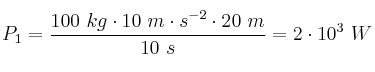
1. Llevar un cuerpo de 100 kg de masa a 20 m de altura en 10 s.

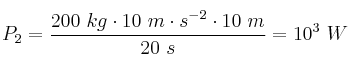
2. Elevar un cuerpo de 200 kg de masa a 10 m de altura en 20 s.

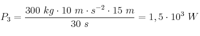
3. Elevar un cuerpo de 300 kg de masa a 15 m de altura en 30 s.

Escribe en orden creciente las potencias que desarrolla el motor en cada uno de los casos. (g = 10\ m\cdot s^{-2})

P.-S.

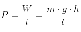
El trabajo que ha de realizar el motor es el producto del peso de cada cuerpo por la altura a la que lo tiene que elevar: W = m\cdot g\cdot h. La potencia es el cociente entre ese trabajo y el tiempo en el que lo desarrolla:
P = \frac{W}{t} = \frac{m\cdot g\cdot h}{t}
Calculamos la potencia para cada caso:
P_1 = \frac{100\ kg\cdot 10\ m\cdot s^{-2}\cdot 20\ m}{10\ s} = 2\cdot 10^3\ W
P_2 = \frac{200\ kg\cdot 10\ m\cdot s^{-2}\cdot 10\ m}{20\ s} = 10^3\ W
P_3 = \frac{300\ kg\cdot 10\ m\cdot s^{-2}\cdot 15\ m}{30\ s} = 1,5\cdot 10^3\ W
El orden pedido es:

\bf P_2 < P_3 < P_1