Moléculas de aire en un volumen en el que se hace vacío

, por F_y_Q

¿Cuantas moléculas de aire estarán en un tanque de 1\ m^3 de volumen, si está a una presión de vacío de 150 micrones de mercurio y a una temperatura de 25^oC?

P.-S.

Como vamos a usar la ecuación de los gases ideales para saber los moles de aire contenidos, tenemos que expresar los datos en las unidades de la constante R:
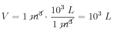
V = 1\ \cancel{m^3}\cdot \frac{10^3\ L}{1\ \cancel{m^3}} = 10^3\ L
T = 25 + 273 = 298\ K
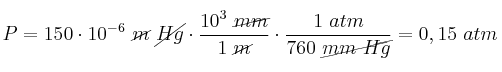
P = 150\cdot 10^{-6}\ \cancel{m}\ \cancel{Hg}\cdot \frac{10^3\ \cancel{mm}}{1\ \cancel{m}}\cdot \frac{1\ atm}{760\ \cancel{mm\ Hg}}} = 0,15\ atm
Despejamos el número de moles de la ecuación de los gases:
PV = nRT\ \to\ n = \frac{PV}{RT}
Sustituimos los datos y calculamos:
n = \frac{0,15\ \cancel{atm}\cdot 10^3\ \cancel{L}}{0,082\frac{\cancel{atm}\cdot \cancel{L}}{\cancel{K}\cdot mol}\cdot 298\ \cancel{K}} = 8,1\cdot 10^{-3}\ mol
Solo nos queda convertirlo en moléculas usando el número de Avogadro:

8,1\cdot 10^{-3}\ \cancel{mol}\cdot \frac{6,022\cdot 10^{23}\ mol\acute{e}c}{1\ \cancel{mol}} = \bf 4,88\cdot 10^{21}\ mol\acute{e}c