Molaridad de una disolución de carnonato de sodio sabiendo masa y volumen

, por F_y_Q

Determina la molaridad de una disolución que contiene 5 gramos de carbonato de sodio en 175 mL de disolución.

P.-S.

En primer lugar es necesario conocer la masa molecular de la sustancia y para ello debemos ser capaces de formularla correctamente: Na_2CO_3. Su masa molecular es:
Na_2CO_3:\ 23\cdot 2 + 12\cdot 1 + 16\cdot 3 = 106\frac{g}{mol}
Convertimos la masa en moles:
5\ \cancel{g}\ Na_2CO_3\cdot \frac{1\ mol}{106\ \cancel{g}} = 4,72\cdot 10^{-2}\ mol\ Na_2CO_3
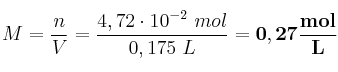
La molaridad de la disolución es el cociente entre los moles de soluto y el volumen de disolución, pero expresado en litros:

M = \frac{n}{V} = \frac{4,72\cdot 10^{-2}\ mol}{0,175\ L} = \bf 0,27\frac{mol}{L}