Cambios de unidades en sistemas distintos y con prefijos multiplicadores (5503)

, por F_y_Q

Realiza las siguientes conversiones de unidades:

a) 1.6\ \frac{g}{cm^3}\ \to\ \frac{kg}{m^3}

b) 700\ \frac{kg}{m^3}\ \to\ \frac{g}{cm^3}

c) 72\ \frac{lb}{ft^3}\ \to\ \frac{g}{m^3}

d) 2.45\cdot 10\ g \ \to\ \mu g

e) 1\ lb \  \to\ g

P.-S.

a) 1.6\ \frac{\cancel{g}}{\cancel{cm^3}}\cdot \frac{1\ kg}{10^3\ \cancel{g}}\cdot \frac{10^6\ \cancel{cm^3}}{1\ m^3} = \fbox{\color[RGB]{192,0,0}{\bm{1.6\cdot 10^3\ \frac{kg}{m^3}}}}

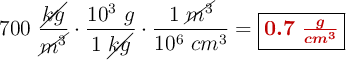
b) 700\ \frac{\cancel{kg}}{\cancel{m^3}}\cdot \frac{10^3\ g}{1\ \cancel{kg}}\cdot \frac{1\ \cancel{m^3}}{10^6\ cm^3} = \fbox{\color[RGB]{192,0,0}{\bm{0.7\ \frac{g}{cm^3}}}}

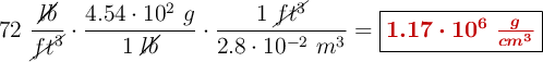
c) 72\ \frac{\cancel{lb}}{\cancel{ft^3}}\cdot \frac{4.54\cdot 10^2\ g}{1\ \cancel{lb}}\cdot \frac{1\ \cancel{ft^3}}{2.8\cdot 10^{-2}\ m^3} = \fbox{\color[RGB]{192,0,0}{\bm{1.17\cdot 10^6\ \frac{g}{cm^3}}}}

d) 2.45\cdot 10\ \cancel{g}\cdot \frac{10^6\ \mu g}{1\ \cancel{g}} = \fbox{\color[RGB]{192,0,0}{\bm{2.45\cdot 10^7\ \mu g}}}

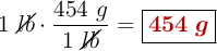
e) 1\ \cancel{lb}\cdot \frac{454\ g}{1\ \cancel{lb}} = \fbox{\color[RGB]{192,0,0}{\bm{454\ g}}}