Volumen que ocupan 0.4 libras de gasolina (5822)

, por F_y_Q

Si se tienen 0.4 lb de gasolina, ¿podrá ser almacenada en un recipiente de 500 \ cm^3?

Densidad de la gasolina: \rho  = 0.68\ \textstyle{kg\over L}

P.-S.

En primer lugar debes convertir la masa de gasolina a kg, para poder usar el dato de la densidad. La equivalencia la debes buscar antes:

0.4\ \cancel{lb}\cdot \frac{0.453\ kg}{1\ \cancel{lb}} = \color[RGB]{0,112,192}{\bf 0.181\ kg}

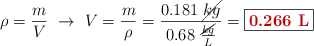
Ahora puedes calcular el volumen que ocupa esa masa de gasolina, a partir de la densidad:

\rho = \frac{m}{V}\ \to\ V = \frac{m}{\rho} = \frac{0.181\ \cancel{kg}}{0.68\ \frac{\cancel{kg}}{L}} = \fbox{\color[RGB]{192,0,0}{\bf 0.266\ L}}


Este dato equivale a \fbox{\color[RGB]{192,0,0}{\bm{266\ cm^3}}}, por lo que sí que puede ser almacenada en el recipiente sin problemas.