Calor que se debe transferir a un sólido para fundirlo y calentarlo

, por F_y_Q

Calcula el calor que se debe transferir a un sistema formado por 150 g de un compuesto B en estado sólido, a 120^oC, para transformarlo en líquido, a 460^oC. El punto de fusión del compuesto B es 282^oC.

Datos: c_e(s) = 13,9\ \textstyle{cal\over{g\cdot ^oC}} ; c_e(l) = 22,5\ \textstyle{cal\over{g\cdot ^oC}} ; l_f(B) = 1\ 423\ \textstyle{cal\over g}

P.-S.

En el calentamiento de la sustancia A hay un cambio de estado y se transforma en líquido. Tenemos que dividir el proceso en varios pasos.
1. Calentamiento del sólido.

Q_1 = m_B\cdot c_e(s)\cdot \Delta T = 150\ \cancel{g}\cdot 13,9\frac{cal}{\cancel{g}\cdot \cancel{^oC}}\cdot (282 - 120)\ \cancel{^oC} = 3,38\cdot 10^5\ cal


2. Cambio de estado (fusión).

Q_2 = m_B\cdot l_f(B) = 150\ \cancel{g}\cdot 1\ 423\frac{cal}{\cancel{g}} = 2,13\cdot 10^5\ cal


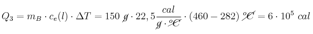
3. Calentamiento del líquido.

Q_3 = m_B\cdot c_e(l)\cdot \Delta T = 150\ \cancel{g}\cdot 22,5\frac{cal}{\cancel{g}\cdot \cancel{^oC}}\cdot (460 - 282)\ \cancel{^oC} = 6\cdot 10^5\ cal


El calor total que cede el sistema durante el proceso es:

Q_T = Q_1 + Q_2 + Q_3 = (3,38\cdot 10^5 + 2,13\cdot 10^5 + 6\cdot 10^5)\ cal = \bf 1,15\cdot 10^6\ cal