Volumen de N2O3, reactivo limitante y masa que sobra de un reactivo

, por F_y_Q

¿Cuántos litros de trióxido de dinitrógeno se producen, en condiciones normales, cuando se hacen reaccionar 30 g de nitrógeno con 1,2 moles de oxígeno? ¿Cuál es el reactivo limitante? ¿Qué masa sobra del reactivo en exceso?

Masas atómicas: N = 14 ; O = 16.

P.-S.

La reacción que tiene lugar es:
N_2(g) + \textstyle{3\over 2}O_2(g)\ \to\ N_2O_3(g)
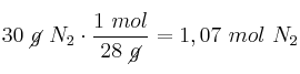
Para saber cuál es el reactivo limitante vamos a convertir en mol la masa de nitrógeno y luego hacemos la relación entre ambos reactivos:
30\ \cancel{g}\ N_2\cdot \frac{1\ mol}{28\ \cancel{g}} = 1,07\ mol\ N_2
1,07\ \cancel{mol\ N_2}\cdot \frac{1,5\ mol\ O_2}{1\ \cancel{mol\ N_2}} = 1,6\ mol\ O_2
Como disponemos solo de 1,2 mol de O_2, el reativo limitante será el oxígeno.
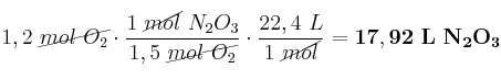
Los cálculo hay que referirlos al reactivo limitante. El volumen de N_2O_3 que se obtendrá es:

1,2\ \cancel{mol\ O_2}\cdot \frac{1\ \cancel{mol}\ N_2O_3}{1,5\ \cancel{mol\ O_2}}\cdot \frac{22,4\ L}{1\ \cancel{mol}} = \bf 17,92\ L\ N_2O_3


La masa de nitrógeno que sobrará es:

(1,07 - 0,8) \cancel{mol}\ N_2\cdot \frac{28\ g}{1\ \cancel{mol}} = \bf 7,56\ g\ N_2