Energía cinética de una chica que corre y variación de la energía con la velocidad

, por F_y_Q

Catalina tiene una masa de 45 kg y se mueve con una rapidez de 10.0\ \textstyle{m\over s}:

a) Calcula la energía cinética de Catalina.

b) Si la rapidez de Catalina cambia a 5.0\ \textstyle{m\over s}, ¿cuál será su energía cinética?

c) ¿Cuál es la razón de las energías cinéticas de los apartados a) y b)?

P.-S.

a) La energía cinética se puede calcular a partir de la ecuación:

E_{C_1} = \frac{m}{2}v^2 = \frac{45\ kg}{2}\cdot 10^2\frac{m^2}{s^2} = \fbox{\color{red}{\bf 2\ 250\ J}}


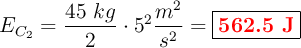
b) Ahora hacemos lo mismo que antes pero con el valor de la mitad de la velocidad:

E_{C_2} = \frac{45\ kg}{2}\cdot 5^2\frac{m^2}{s^2} = \fbox{\color{red}{\bf 562.5\ J}}


c) La razón o relación entre ambas energía cinéticas se obtiene haciendo el cociente entre ellas:

\frac{E_{C_1}}{E_{C_2}} = \frac{2\ 250\ \cancel{J}}{562.5\ \cancel{J}} = \fbox{\color{red}{\bf 4}}


Dado que la energía cinética depende del cuadrado de la velocidad, si reducimos a la mitad la velocidad, se reducirá cuatro veces el valor de la energía.