Volumen de ácido necesario para neutralizar 2.5 g de NaOH (5456)

, por F_y_Q

¿Qué volumen de \ce{H_2SO4} (5 N) se necesita para neutralizar una solución que contiene 2.5 g de \ce{NaOH}? ¿Cuántos gramos de \ce{H_2SO4} puro se necesitan?

P.-S.

La masa de un equivalente de \ce{NaOH} coincide con la masa molecular de la sustancia porque solo tiene un grupo -OH. Conviertes la masa de \ce{NaOH} en equivalentes:

2.5\ \cancel{g}\ \ce{NaOH}\cdot \frac{1\ eq}{40\ \cancel{g}} = \color[RGB]{0,112,192}{\bm{6.25\cdot 10^{-2}}\ \textbf{eq \ce{NaOH}}}

Para conseguir la neutralización necesitas los mismos equivalentes de \ce{H_2SO4}. A partir de la normalidad de la disolución del ácido:

6.25\cdot 10^{-2}\ \cancel{eq}\cdot \frac{10^3\ mL\ D}{5\ \cancel{eq}} = \fbox{\color[RGB]{192,0,0}{\textbf{12.5 mL D}}}


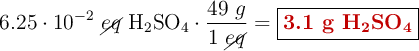
Como el ácido sulfúrico tiene dos protones en su composición, la masa de un equivalente será la mitad de la masa molecular del ácido:

6.25\cdot 10^{-2}\ \cancel{eq}\ \ce{H_2SO4}\cdot \frac{49\ g}{1\ \cancel{eq}} = \fbox{\color[RGB]{192,0,0}{\textbf{3.1 g \ce{H_2SO4}}}}