Análisis de la composición química de la sal de Epsom

, por F_y_Q

La sal de Epsom es un compuesto mineral que ha sido usado por siglos como remedio natural con abundantes beneficios para la salud, para mejorar la calidad del cabello y la piel, para usos domésticos, como fertilizante en jardines, etc. Este compuesto es conocido científicamente como sulfato de magnesio heptahidratado (MgSO_4\cdot 7H_2O). Determina, para 9,25\cdot 10^{-4}\ kg de una muestra pura de este compuesto:

a) Moles en la muestra de MgSO_4\cdot 7H_2O.

b) Porcentaje de cationes Mg^{2+}.

c) Porcentaje de S.

d) Porcentaje de O.

e) Porcentaje de H.

f) Porcentaje de H_2O.

g) Cantidad de moléculas de MgSO_4.

h) Cantidad de moléculas de H_2O.

i) Cantidad de iones sulfato (SO_4)^{2-}.

j) Microgramos de H_2O.

k) Moles de MgSO_4.

l) Moles de H_2O.

P.-S.

Empezamos por calcular la masa molecular del compuesto:
MgSO_4\cdot 7H_2O:\ 1\cdot 24,3 + 1\cdot 32 + 4\cdot 16 + 7\cdot (2\cdot 1 + 1\cdot 16) = 246,3\ \textstyle{g\over mol}
a) Convetimos la masa de la muestra en gramos y luego en moles:

9,25\cdot 10^{-3}\ \cancel{kg}\ MgSO_4\cdot 7H_2O\cdot \frac{10^3\ \cancel{g}}{1\ \cancel{kg}}\cdot \frac{1\ mol}{246,3\ \cancel{g}} = \bf 3,76\cdot 10^{-3}\ mol\ MgSO_4\cdot 7H_2O


Aprovechamos y hacemos los dos últimos apartados porque son inmediatos.
Cada molécula del compuesto tiene una molécula de MgSO_4 y siete moléculas de H_2O. Si lo aplicamos a los moles:

3,76\cdot 10^{-3}\ \cancel{mol\ MgSO_4\cdot 7H_2O}\cdot \frac{1\ mol\ MgSO_4}{1\ \cancel{mol\ MgSO_4\cdot 7H_2O}} = \bf 3,76\cdot 10^{-3}\ mol\ MgSO_4


l) Para los moles de agua queda como:

3,76\cdot 10^{-3}\ \cancel{mol\ MgSO_4\cdot 7H_2O}\cdot \frac{7\ mol\ H_2O}{1\ \cancel{mol\ MgSO_4\cdot 7H_2O}} = \bf 2,63\cdot 10^{-2}\ mol\ H_2O


Ahora calculamos la composición centesimal del compuesto para poder responder a los cinco apartados siguientes. Para ello, dividimos las masas de cada elemento entre la masa total del compuesto y lo multiplicamos por 100:
b) El porcentaje de cationes Mg^{2+} coincide con el de átomos de Mg:

Mg:\ \frac{24,3}{246,3}\cdot 100 = \bf 9,9\%


c) Para el azufre:

S:\ \frac{32}{246,3}\cdot 100 = \bf 13\%


d) Para el oxígeno:

O:\ \frac{11\cdot 16}{246,3}\cdot 100 = \bf 71,4\%


e) Para el hidrógeno:

H:\ \frac{14\cdot 1}{246,3}\cdot 100 = \bf 5,7\%


f) Para el agua basta con tener en cuenta la masa molar del agua:

H_2O:\ \frac{7\cdot 18}{246,3}\cdot 100 = \bf 51,2\%


g) Si rescatamos el dato del apartado k) podemos transformar los moles de MgSO_4 en moléculas a partir del número de Avogadro:

3,76\cdot 10^{-3}\ \cancel{mol}\ MgSO_4\cdot \frac{6,022\cdot 10^{23}\ \mol\acute{e}c}{1\ \cancel{mol}} = \bf 2,26\cdot 10^{21}\ mol\acute{e}c\ MgSO_4


i) Aprovechamos el resultado anterior para hacer este apartado porque cada molécula de MgSO_4 contiene un ion sulfato (SO_4)^{2-}, por lo que el número de iones será el mismo que el de las moléculas anteriores:

\bf 2,26\cdot 10^{21}\ iones\ (SO_4)^{2-}


h) Por cada molécula de MgSO_4 del compuesto hay 7 moléculas de H_2O atendiendo a la fórmula molecular. Basta con multiplicar por siete el resultado anterior:

2,26\cdot 10^{21}\ \cancel{mol\acute{e}c\ MgSO_4}\cdot \frac{7\ mol\acute{e}c\ H_2O}{1\ \cancel{\mol\acute{e}c\ MgSO_4}} = \bf 1,58\cdot 10^{22}\ mol\acute{e}c\ H_2O


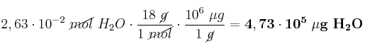
j) Para hacer este apartado vamos a rescatar el dato obtenido en el apartado l) que eran los moles de H_2O. Los convertimos a gramos y luego a microgramos:

2,63\cdot 10^{-2}\ \cancel{mol}\ H_2O\cdot \frac{18\ \cancel{g}}{1\ \cancel{mol}}\cdot \frac{10^6\ \mu g}{1\ \cancel{g}} = \bf 4,73\cdot 10^5\ \mu g\ H_2O