Volumen final de un gas tras comprimirlo a temperatura constante

, por F_y_Q

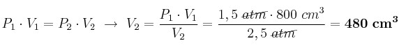
La presión que se ejerce sobre 800\ cm^3 de un gas aumenta de 1,5 a 2,5 atmósferas. Determina el nuevo volumen si la temperatura es constante.

P.-S.

Como la temperatura del gas es constante en el proceso de compresión, debemos usar la ley de Boyle para poder calcular el volumen final:

P_1\cdot V_1 = P_2\cdot V_2\ \to\ V_2 = \frac{P_1\cdot V_1}{V_2} = \frac{1,5\ \cancel{atm}\cdot 800\ cm^3}{2,5\ \cancel{atm}} = \bf 480\ cm^3