Variación de la energía interna de un sistema que absorbe calor y realiza un trabajo

, por F_y_Q

Calcula el incremento de energía interna que experimenta un sistema que, al consumir una energía calorífica de 2,37 kilocalorías, realiza un trabajo de 6 300 J.

P.-S.

Si aplicamos la Primera Ley de la Termodinámica para hacer el ejercicio se puede resolver de manera muy simple, pero debemos tener cuidado con el criterio de signos y con las unidades. En primer lugar convertimos el calor absorbido en julio:
2,37\cdot 10^3\ \cancel{cal}\cdot \frac{4,18\ J}{1\ \cancel{cal}} = 9,91\cdot 10^3\ J
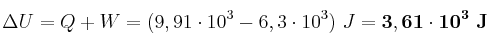
El calor absorbido debe considerarse POSITIVO mientras que el trabajo que realiza el sistema se debe considerar NEGATIVO. Aplicamos la primera ley:

\Delta U = Q + W = (9,91\cdot 10^3 - 6,3\cdot 10^3)\ J = \bf 3,61\cdot 10^3\ J