Longitud de un tren sabiendo el tiempo que tarda en cruzarse con otro que circula en sentido contrario (5451)

, por F_y_Q

Dos trenes circulan en sentido contrario con velocidades respectivas de 100 y 110 km/h. Un viajero del primer tren observa que el segundo tren tarda en cruzarse dos segundos, ¿qué longitud tiene el segundo tren?

P.-S.

Puedes hacer el ejercicio de dos modos distintos; teniendo en cuenta la distancia que recorren ambos trenes en dos segundos o considerando que el primero estuviera quieto y el segundo se moviese con una velocidad relativa que fuese la suma de las velocidades de ambos. En todos los casos, es necesario expresar las velocidades en unidades SI:

\left v_1 = 100\ \frac{\cancel{km}}{\cancel{h}}\cdot \frac{10^3\ m}{1\ \cancel{km}}\cdot \frac{1\ \cancel{h}}{3.6\cdot 10^3\ s} = {\color[RGB]{0,112,192}{\bm{27.8\ \frac{m}{s}}}} \atop v_2 = 110\ \frac{\cancel{km}}{\cancel{h}}\cdot \frac{10^3\ m}{1\ \cancel{km}}\cdot \frac{1\ \cancel{h}}{3.6\cdot 10^3\ s} = {\color[RGB]{0,112,192}{\bm{30.6\ \frac{m}{s}} \right \}}}

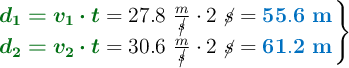
Primer modo: espacio que recorre cada uno.

Como se mueven con velocidad constante, puedes calcular la distancia que recorre cada uno de ellos en los dos segundos:

\left {\color[RGB]{2,112,20}{\bm{d_1 = v_1\cdot t}}} = 27.8\ \frac{m}{\cancel{s}}\cdot 2\ \cancel{s} = {\color[RGB]{0,112,192}{\bf 55.6\ m}} \atop {\color[RGB]{2,112,20}{\bm{d_2 = v_2\cdot t}}} = 30.6\ \frac{m}{\cancel{s}}\cdot 2\ \cancel{s} = {\color[RGB]{0,112,192}{\bf 61.2\ m}} \right \}

La longitud del segundo tren sería la suma de las distancias que recorren ambos trenes en los dos segundos:

L_2 = (d_1 + d_2) = (55.6 + 61.2)\ m = \fbox{\color[RGB]{192,0,0}{\bf 116.8\ m}}


Segundo modo: velocidad relativa del segundo con respecto al primero.

En este caso la velocidad relativa sería:

{\color[RGB]{2,112,20}{\bm{v_r = v_1 + v_2}}} = (27.8 + 30.6)\ \frac{m}{s} = \color[RGB]{0,112,192}{\bm{58.4\ \frac{m}{s}}}

La longitud del segundo tren sería igual a la distancia que recorrería en dos segundos si llevase la velocidad relativa calculada:

{\color[RGB]{2,112,20}{\bm{L_2 = v_r\cdot t}}} = 58.4\ \frac{m}{\cancel{s}}\cdot 2\ \cancel{s} = \fbox{\color[RGB]{192,0,0}{\bf 116.8\ m}}