Fracción molar de cada componente de una mezcla

, por F_y_Q

Determina la fracción molar de cada sustancia en una solución que contiene 40 g de agua y 50 g de bromuro de sodio. (Na = 23 ; Br = 80 ; H = 1 ; O = 16).

P.-S.

La fracción molar se define como el cociente entre los moles de un componente y los moles totales en la mezcla. En primer lugar transformamos en mol las masas de cada componente:
n_{H_2O} = 40\ \cancel{g}\ H_2O\cdot \frac{1\ mol}{18\ \cancel{g}} = 2,22\ mol\ H_2O
n_{NaBr} = 50\ \cancel{g}\ NaBr\cdot \frac{1\ mol}{103\ \cancel{g}} = 0,485\ mol\ NaBr
Fracción molar del agua:

x_{H_2O} = \frac{n_{H_2O}}{(n_{H_2O} + n_{NaBr})} = \frac{2,22\ \cancel{mol}}{(2,22 + 0,485)\ \cancel{mol}} = \bf 0,82


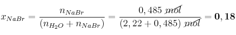
Fracción molar del bromuro de sodio:

x_{NaBr} = \frac{n_{NaBr}}{(n_{H_2O} + n_{NaBr})} = \frac{0,485\ \cancel{mol}}{(2,22 + 0,485)\ \cancel{mol}} = \bf 0,18

También se puede obtener la fracción molar del otro componente por diferencia, es decir, como solo hay dos componentes en la mezcla y la suma de las fracciones ha de ser uno, basta con restar (1 - 0,82) para obtener 0,18 como la fracción molar del NaBr.