Ampliación: energía cinética de un objeto que se mueve tras aplicarle una fuerza (5764)

, por F_y_Q

La masa de un objeto es de 34 kg y se le aplica una fuerza que provoca que se mueva con una velocidad de 0.4\ \textstyle{km\over h}. Calcula su energía cinética.

P.-S.

La dificultad de este ejercicio está en las unidades. Es necesario expresar antes la velocidad en \textstyle{m \over s} para poder hacer el cálculo:

0.4\ \frac{\cancel{km}}{\cancel{h}}\cdot \frac{10^3\ m}{\cancel{km}}\cdot \frac{1\ \cancel{h}}{3\ 600\ s} = \color[RGB]{0,112,192}{\bm{0.11\ \frac{m}{s}}}

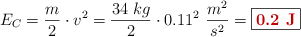
Ahora puedes calcular la energía cinética:

E_C = \frac{m}{2}\cdot v^2 = \frac{34\ kg}{2}\cdot 0.11^2\ \frac{m^2}{s^2} = \fbox{\color[RGB]{192,0,0}{\bf 0.2\ J}}


Descarga el enunciado y la resolución del problema en formato EDICO si lo necesitas.