Ecuaciones de velocidad y desplazamiento de un MRUA en función de la aceleración

, por F_y_Q

Un automóvil parte del reposo y se mueve con una aceleración constante durante 6 s. ¿Cómo podrías calcular la velocidad inicial y final y el desplazamiento inicial y final del automóvil?

P.-S.

Se trata de un ejercicio en el que debemos saber trabajar con las ecuaciones del movimiento y poner el resultado en función del dato de la aceleración.
Se trata de un MRUA y usaremos las ecuaciones de ese movimiento. Tanto la velocidad inicial como el desplazamiento inicial son cero porque dice que el automóvil parte del reposo.
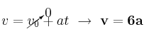
Velocidad final.

v = \cancelto{0}{v_0} + at\ \to\ \bf v = 6a


Desplazamiento final.

s = \cancelto{0}{s_0} + \cancelto{0}{v_0}t + \frac{1}{2}at^2\ \to\ s = \frac{a}{2}\cdot 6^2\ \to\ \bf s = 18a