Valores de g en la superficie de la Tierra cuando varían la masa, volumen o densidad (5663)

, por F_y_Q

Calcula los valores de g en la superficie de la Tierra para los siguientes cambios en las propiedades de la Tierra:

a) Su masa se duplica y su radio se reduce a la mitad.

b) Su densidad se duplica y la radio no cambia.

c) Su densidad se reduce a la mitad y su masa no cambia.

P.-S.

Para poder obtener el valor de g^{\prime} indicado vamos a compararlo con el valor de g conocido.

a) Debemos tener en cuenta que M^{\prime}  = 2M y que R^{\prime} = \textstyle{R\over 2} :

\frac{g^{\prime}}{g} = \frac{\frac{GM^{\prime}}{R^{\prime}^2}}{\frac{GM}{R^2}}

\frac{g^{\prime}}{g} = \frac{\frac{\cancel{G}\cdot 2\cancel{M}}{\frac{\cancel{R^2}}{4}}}{\frac{\cancel{G}\cdot \cancel{M}}{\cancel{R^2}}}\ \to\ g^{\prime} = 8g = 8\cdot 9.8\ \frac{m}{s^2} = \fbox{\color[RGB]{192,0,0}{\bm{78.4\ \frac{m}{s^2}}}}


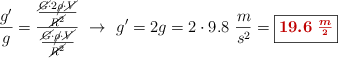
b) Ahora \rho^{\prime} = 2\rho. Al ser R^{\prime} = R , los volúmenes son iguales, es decir, V^{\prime} = V . Escribimos las masas M^{\prime} y M en función de la densidad y el volumen:

\frac{g^{\prime}}{g} = \frac{\frac{G\rho^{\prime}V^{\prime}}{R^{\prime}^2}}{\frac{G\rho V}{R^2}}

\frac{g^{\prime}}{g} = \frac{\frac{\cancel{G}\cdot 2\cancel{\rho}\cdot \cancel{V}}{\cancel{R^2}}}{\frac{\cancel{G}\cdot \cancel{\rho}\cdot \cancel{V}}{\cancel{R^2}}}\ \to\ g^{\prime} = 2g = 2\cdot 9.8\ \frac{m}{s^2} = \fbox{\color[RGB]{192,0,0}{\bm{19.6\ \frac{m}{^2}}}}


c) Ahora tenemos que considerar que \rho^{\prime} = \textstyle{\rho\over 2} y M^{\prime} = M . Como la masa es la misma, los volúmenes tienen que seguir la relación:

\frac{M}{V^{\prime}} = \frac{1}{2}\cdot \frac{M}{V^{\prime}}\ \to\ V^{\prime} = 2V

Esto significa que los radios deben seguir la misma relación, es decir, R^{\prime} = 2R :

\frac{g^{\prime}}{g} = \frac{\frac{\cancel{GM}}{(2R)^2}}{\frac{\cancel{GM}}{R^2}}\ \to\ \frac{g^{\prime}}{g} = \frac{\cancel{R^2}}{4\cancel{R^2}}}\ \to\ g^{\prime} = \frac{g}{4} = \frac{9.8}{4}\ \frac{m}{s^2} = \fbox{\color[RGB]{192,0,0}{\bm{2.45\ \frac{m}{s^2}}}}