Volumen de un cubo de aleación y masa de oro que contiene (5328)

, por F_y_Q

Un cubo de aleación de aluminio y oro pesa 49 N. Al sumergirlo en agua suspendido de un dinamómetro la lectura del mismo es 39.2 N:

a) Calcula el volumen del cubo de aleación.

b) Calcula la masa de oro que contiene la aleación.

Datos: \rho_{Al}  = 2.7\cdot 10^3\ kg\cdot m^{-3} ; \rho_{Au}  = 1.93\cdot 10^4\ kg\cdot m^{-3} ; \rho_{H_2O}  = 10^3\ kg\cdot m^{-3}

P.-S.

a) La diferencia entre los pesos fuera y dentro del agua es el empuje que el agua hace sobre el cubo:

E = (49 - 39.2)\ N = \color[RGB]{0,112,192}{\bf 9.8\ N}

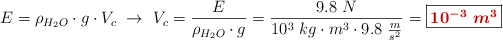
Este empuje se puede escribir en función de la densidad del fluido (agua), la aceleración de la gravedad y el volumen del cubo sumergido:

E = \rho_{H_2O}\cdot g\cdot V_c\ \to\ V_c = \frac{E}{\rho_{H_2O}\cdot g} = \frac{9.8\ N}{10^3\ kg\cdot m^3\cdot 9.8\ \frac{m}{s^2}} = \fbox{\color[RGB]{192,0,0}{\bm{10^{-3}\ m^3}}}


b) La masa del cubo es:

p = m\cdot g\ \to\ m = \frac{p}{g} = \frac{49\ N}{9.8\ \frac{m}{s^{-2}}} = \color[RGB]{0,112,192}{\bf 5\ kg}

La densidad del cubo es:

\rho_c = \frac{m_c}{V_c} = \frac{5\ kg}{10^{-3}\ m^3} = \color[RGB]{0,112,192}{\bm{5\cdot 10^3\ \frac{kg}{m^3}}}

La masa de oro que contiene el cubo la puedes obtener si conoces qué volumen del cubo corresponde al oro:

\color[RGB]{2,112,20}{\bm{\rho_{Al}\cdot (1-x) + \rho_{Au}\cdot x = 5\cdot 10^{-3}}}

El volumen del cubo que es de oro es:

2.7\cdot 10^3 - 2.7\cdot 10^3\cdot x + 1.93\cdot 10^4\cdot x = 5\cdot 10^3\ \to\ x = \frac{2.3\cdot 10^3}{1.66\cdot 10^4} = \color[RGB]{0,112,192}{\bf 0.139}

El volumen de oro en el cubo se corresponde con \color[RGB]{0,112,192}{\bm{1.39\cdot 10^{-4}\ m^3}}. La masa de oro es:

m_{Au} = \rho_{Au}\cdot V_{Au} = 1.93\cdot 10^{-4}\frac{kg}{\cancel{m^3}}\cdot 1.39\cdot 10^{-4}\ \cancel{m^3} = \fbox{\color[RGB]{192,0,0}{\bf 2.68\ kg}}