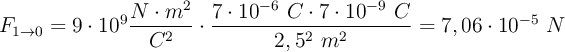
Cálculo de la fuerza neta sobre una carga 0001
Calcula la fuerza neta sobre una carga
si a 2,5 m de ella, a su izquierda, se sitúa una carga
y a 3 m a la izquierda de
hay otra carga
.
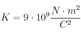
Dato: 
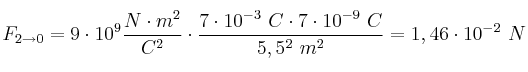
Calcula la fuerza neta sobre una carga
si a 2,5 m de ella, a su izquierda, se sitúa una carga
y a 3 m a la izquierda de
hay otra carga
.
Dato: 