Carga de un condensador en función del trabajo de carga y la capacidad (7509)

, por F_y_Q

Cuando se cargó un condensador se realizó un trabajo de 8\cdot 10^{-4}\ J. Calcula el valor de la carga si su capacidad es de 4\cdot 10^{-12}\ F.

P.-S.

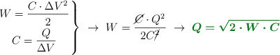
La energía que almacena un condensador cargado es función de su capacidad y de la diferencia de potencial usada para cargarlo. Por otro lado, la capacidad del condensador puede ser escrita en función de la carga y la diferencia de potencial. Usando ambas ecuaciones puedes sustituir una en la otra y llegar a la ecuación:

\left W = \dfrac{C\cdot \Delta V^2}{2} \atop C = \dfrac{Q}{\Delta V} \right \}\ \to\ W = \frac{\cancel{C}\cdot Q^2}{2C\cancel{^2}}\ \to\ \color[RGB]{2,112,20}{\bm{Q = \sqrt{2\cdot W\cdot C}}}

Sustituyes los datos dados en el enunciado y calculas el valor de la carga:

Q = \sqrt{2\cdot 8\cdot 10^{-4}\ J\cdot 4\cdot 10^{-12}\ F} = \fbox{\color[RGB]{192,0,0}{\bm{8\cdot 10^{-8}\ C}}}


Descarga el enunciado y la resolución del problema en formato EDICO si lo necesitas.