Distancia a la que colocar dos cargas para que la fuerza sea un tercio (7390)

, por F_y_Q

Dos cargas eléctricas iguales en magnitud y signo se repelen con una fuerza de 1 500 N cuando están separadas 60 cm. Calcula la separación que debe hacerse a las cargas con respecto a la separación anterior para que la fuerza se reduzca a la tercera parte.

P.-S.

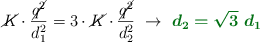
La condición que se ha de cumplir es que F_1 = 3F_2, si llamamos F _1 a la fuerza inicial y F _2 a la final. Aplicando la ley de Coulomb a ambas situaciones:

\cancel{K}\cdot \frac{\cancel{q^2}}{d_1^2} = 3\cdot \cancel{K}\cdot \frac{\cancel{q^2}}{d_2^2}\ \to\ \color[RGB]{2,112,20}{\bm{d_2 = \sqrt 3\ d_1}}

La distancia a la que se deben colocar las cargas es:

d_2 = \sqrt 3\cdot 0.6\ m = \color[RGB]{0,112,192}{\bf 1.04\ m}

La separación que se debe hacer a las cargas de la primera situación es la diferencia entre el valor calculado y la distancia en la situación primera:

\Delta d = (1.04 - 0-6)\ m = \fbox{\color[RGB]{192,0,0}{\bf 0.44\ m}}