Potencial y carga de cada condensador en una asociación mixta (7539)

, por F_y_Q

Calcular el potencial y la carga de cada condensador en la siguiente asociación:

P.-S.

Lo primero que debes hacer es calcular la capacidad equivalente de la asociación. Haces las asociaciones en paralelo y luego la del resto en serie:

C_{23} = C_2 + C_3 = (2 + 2)\ \mu F\ \to\ \color[RGB]{0,112,192}{\bm{C_{23} = 4\ \mu F}}
C_{56} = C_5 + C_6 = (1 + 1)\ \mu F\ \to\ \color[RGB]{0,112,192}{\bm{C_{56} = 2\ \mu F}}

La capacidad total es:

C_T = (C_1^{-1} + C_{23}^{-1} + C_4^{-1} + C_7^{-1} + C_{56}^{-1})^{-1} = (2\cdot 4^{-1} + 3\cdot 2^{-1})^{-1}\ \mu F\ \to\ \color[RGB]{0,112,192}{\bm{C_T = 0.5\ \mu F}}

La carga total del circuito es:

C_T = \frac{Q_T}{\Delta V_T}\ \to\ Q_T = C_T\cdot \Delta V_T = 5\cdot 10^{-7}\ C\cdot 20\ V = \color[RGB]{0,112,192}{\bm{10^{-5}\ C}}

En la asociación en serie todos los condensadores tienen la misma carga:

\fbox{\color[RGB]{192,0,0}{\bm{Q_1 = Q_4 = Q_7 = 10^{-5}\ C}}}


Para saber la carga de los condensadores que están en paralelo es necesario antes saber qué potencial tienen. Dado que el potencial es el mismo en la asociación en paralelo:

\Delta V_{23} = \Delta V_2 = \Delta V_3 = \frac{Q_{23}}{C_{23}} = \frac{10^{-5}\ C}{4\cdot 10^{-6}\ F} = \fbox{\color[RGB]{192,0,0}{\bf 2.5\ V}}


\Delta V_{56} = \Delta V_5 = \Delta V_6 = \frac{Q_{56}}{C_{56}} = \frac{10^{-5}\ C}{2\cdot 10^{-6}\ F} = \fbox{\color[RGB]{192,0,0}{\bf 5\ V}}


La carga de los condensadores es será la misma dos a dos porque sus capacidades también lo son, debiendo ser la mitad de la carga total de la asociación. Lo puedes ver para la primera de ellas:

Q_2 = Q_3 = C_2\cdot \Delta V_2 = 2\cdot 10^-6\ F\cdot 2.5\ V = \fbox{\color[RGB]{192,0,0}{\bm{5\cdot 10^{-6}\ C}}}


Para los otros dos condensadores también se obtiene lo mismo:

$Q_5 = Q_6 = C_5\cdot \Delta V_5 = 10^-6\ F\cdot 5\ V = \fbox{\color[RGB]{192,0,0}{\bm{5\cdot 10^{-6}\ C}}}
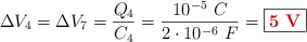
El resto de los potenciales los puedes obtener del mismo modo que has hecho con las asociaciones en paralelo:

\Delta V_1 = \frac{10^{-5}\ C}{4\cdot 10^{-6}\ F} = \fbox{\color[RGB]{192,0,0}{\bf 2.5\ V}}


\Delta V_4 = \Delta V_7 = \frac{Q_4}{C_4} = \frac{10^{-5}\ C}{2\cdot 10^{-6}\ F} = \fbox{\color[RGB]{192,0,0}{\bf 5\ V}}