Punto entre dos cargas en el que el campo eléctrico resultante es nulo (7266)

, por F_y_Q

Dos cargas eléctricas q_1 = 10^{-6}\ C y q_2 = 2\cdot 10^{-6}\ C están ubicados en los extremos de una recta de 0.2 m de longitud. Calcula el punto sobre la recta que las une, donde el campo eléctrico es nulo.

P.-S.

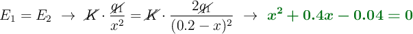
Son dos cargas positivas y además la carga q _2 es el doble que la carga q _1. Los campos de cada una de las cargas tendrán sentido contrario y sus módulos tendrán que ser iguales para que la suma sea cero. Basta con que iguales los módulos de los campos de cada una de las cargas, llamando «x» a la distancia del punto buscado de la carga q _1:

E_1= E_2\ \to\ \cancel{K}\cdot \frac{\cancel{q_1}}{x^2} = \cancel{K}\cdot \frac{2\cancel{q_1}}{(0.2 - x)^2}\ \to\ \color[RGB]{2,112,20}{\bm{x^2 + 0.4x - 0.04 = 0}}

Si resuelves la ecuación de segundo grado obtienes como valor de la distancia:

\fbox{\color[RGB]{192,0,0}{\bm{x= 8.3\cdot 10^{-2}\ m}}}