Fuerza neta sobre una carga debida a otras dos de signo contrario (7168)

, por F_y_Q

Las esferillas A, B y C tienen las cargas indicadas en la figura y son equidistantes. La fuerza aplicada por A sobre B es de 6.0 N. Calcula el módulo de la fuerza neta que sufre C y dibújala.

P.-S.

En primer lugar es buena idea dibujar las fuerzas que las cargas de A y B harán sobre la esfera C:


Observa que el sentido viene dado por el signo de las carga de A y B. Si tomas como referencia que el sentido hacia la derecha es positivo, la suma vectorial de las fuerzas es:

\vec F_T = \vec F_{AC} - \vec F_{BC}

Dado que la carga B está más cerca de C que la carga A, la fuerza de esta carga es mayor. La suma vectorial resultará como:


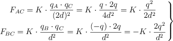
Las fuerzas entre AC y BC son:

\left F_{AC} = K\cdot \dfrac{q_A\cdot q_C}{(2d)^2} = K\cdot \dfrac{q\cdot 2q}{4d^2} = K\cdot \dfrac{q^2}{2d^2} \atop F_{BC} = K\cdot \dfrac{q_B\cdot q_C}{d^2} = K\cdot \dfrac{(-q)\cdot 2q}{d^2} = - K\cdot \dfrac{2q^2}{d^2} \right \}

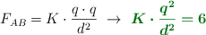
Como sabes la fuerza que hay entre A y B, puedes obtener una relación útil como es:

F_{AB} = K\cdot \frac{q\cdot q}{d^2}\ \to\ \color[RGB]{2,112,20}{\bm{K\cdot \frac{q^2}{d^2} = 6}}

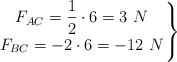
Sustituyes en las ecuaciones para las fuerzas con la esfera C y obtienes:

\left F_{AC} = \dfrac{1}{2}\cdot 6 = 3\ N \atop F_{BC} = -2\cdot 6 = -12\ N \right \}

Si haces la suma de ambas fuerzas obtienes la fuerza neta:

F_T = (3 - 12)\ N = \fbox{\color[RGB]{192,0,0}{\bf - 9\ N}}