Relación entre dos cargas para que la fuerza en una tercera sea nula (7396)

, por F_y_Q

Determina la relación que existe entre las cargas Q _1 y Q _2 para que la carga q se encuentre en equilibrio.

P.-S.

La mejor manera de enfocar el ejercicio es dibujar las fuerzas eléctricas que actuarían sobre la carga q, que es positiva:


He considerado positivo el sentido hacia la derecha, que es lo que indica la flecha amarilla.

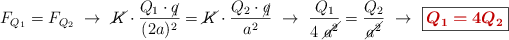
Para que la carga q esté en equilibrio es necesario que los módulos de las fuerzas \vec F_{Q_1} y \vec F_{Q_2} sean iguales porque, como puedes ver en el esquema, tienen sentido contrario debido a que el signo de sus cargas es opuesto. Igualas las fuerzas, operas y obtienes la relación entre las cargas:

F_{Q_1} = F_{Q_2}\ \to\ \cancel{K}\cdot \frac{Q_1\cdot \cancel{q}}{(2a)^2} = \cancel{K}\cdot \frac{Q_2\cdot \cancel{q}}{a^2}\ \to\ \frac{Q_1}{4\ \cancel{a^2}} = \frac{Q_2}{\cancel{a^2}}\ \to\ \fbox{\color[RGB]{192,0,0}{\bm{Q_1 = 4Q_2}}}