Velocidad con la que gira el electrón del átomo de hidrógeno (5079)

, por F_y_Q

El electrón del átomo de hidrógeno se mueve en una órbita circular de radio 5.3\cdot 10^{-11}\ m alrededor del protón. Si la fuerza de Coulomb que actúa sobre el electrón es de 8.2\cdot 10^{-8}\ N:

a) ¿Cuál es la velocidad de dicha partícula?

b) En la respuesta del apartado anterior, ¿m es la masa del electrón o del protón?

P.-S.

a) Como el movimiento que sigue el electrón en ese modelo es circular y uniforme, la fuerza de Coulomb ha de ser igual a la fuerza centrípeta del movimiento, con lo que podemos hacer la igualdad:

F_E = F_{ct}  = m\cdot \frac{v^2}{m}

Si despejamos el valor de la velocidad con la que gira el electrón y sustituimos por los datos conocidos en el enunciado:

\sqrt{\frac{F_E\cdot r}{m}}  = v

v = \sqrt{\frac{8.2\cdot 10^{-8}\ N\cdot 5.3\cdot 10^{-11}\ m}{m\ (kg)}} = \fbox{\color[RGB]{192,0,0}{\bm{2.08\cdot 10^{-9}\cdot \frac{1}{\sqrt{m}}\ (\frac{m}{s})}}}


b) El valor de m del apartado anterior hace referencia al valor de la masa del electrón porque es la partícula que está girando.

Contenido extra en la respuesta:
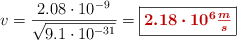
Como la masa del electrón es una constante física podemos calcular la velocidad de giro del electrón sustituyendo en el resultado del apartado a):

v = \frac{2.08\cdot 10^{-9}}{\sqrt{9.1\cdot 10^{-31}}} = \fbox{\color[RGB]{192,0,0}{\bm{2.18\cdot 10^6\frac{m}{s}}}}