Partícula con carga que deseamos que levite en la superficie de la Tierra (7099)

, por F_y_Q

En la superficie de la Tierra existe un campo eléctrico vertical hacia abajo de 100 N/C. Si se suelta una partícula cargada de 4 g de masa:

a) ¿Cuál debe ser su carga para que levite?

b) Si la carga de la partícula fuera el triple de la que has calculado en el apartado anterior, la partícula comenzará un movimiento ascendente. ¿Por qué?

c) Si consideras la situación del apartado b) y que la partícula está inicialmente en reposo, ¿cuál será su velocidad cuando haya ascendido 5 m desde su posición inicial?

P.-S.

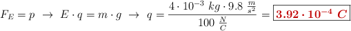
a) Para que la partícula levite es necesario que la fuerza eléctrica que experimente sea igual al peso. Como el campo es positivo, la carga tendrá que ser positiva para que la fuerza eléctrica sea de repulsión y sea ascendente. El valor de la carga es:

F_E = p\ \to\ E\cdot q = m\cdot g\ \to\ q = \frac{4\cdot 10^{-3}\ kg\cdot 9.8\ \frac{m}{s^2}}{100\ \frac{N}{C}} = \fbox{\color[RGB]{192,0,0}{\bm{3.92\cdot 10^{-4}\ C}}}


b) Como la carga es positiva, y la fuerza eléctrica es el triple de la calculada en el apartado anterior, la fuerza resultante es una fuerza vertical hacia arriba que hace que ascienda la partícula.

c) La fuerza eléctrica será el triple del peso, por lo que la fuerza resultante es el doble del peso. La aceleración que sufre la partícula es:

F_T = 2p = m\cdot a\ \to\ a = \frac{2\cdot \cancel{m}\cdot g}{\cancel{m}} = 2\cdot 9.8\ \frac{m}{s^2} = \color[RGB]{0,112,192}{\bm{19.6\ \frac{m}{s^2}}}

La velocidad la calculas a partir de la ecuación de que la relaciona con la distancia recorrida, es decir, la altura:

v^2 = \cancelto{0}{v_0^2} + 2ah\ \to\ v = \sqrt{2\cdot 19.6\ \frac{m}{s^2}\cdot 5\ m} = \fbox{\color[RGB]{192,0,0}{\bm{14\ \frac{m}{s}}}}