Interacción entre dos cargas de signo distinto 0001

, por F_y_Q

Dos cargas de 3\ \mu C y -7\ \mu C se encuentran situadas en los puntos (0, 0, 0) y (7, 5, 3). Determina:
a) La fuerza eléctrica \vec F_{12}.
b) La dirección del vector \vec r_{12}.
c) El módulo del vector r_{12}.
d) El sentido del vector \vec r_{12}.

P.-S.

Si hacemos la diferencia entre las coordenadas de los puntos en los que están las cargas, obtenemos el vector \vec r_{12}:
\vec r_{12} = (7-0, 5-0, 3-0) = 7\vec i + 5\vec j + 3\vec k
c) El módulo de este vector es:

r_{12} = \sqrt{7^2 + 5^5 + 3^2} = \sqrt{83} = \bf 9,11 (m)


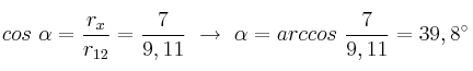
b) La dirección del vector se debe dar en función de los cosenos directores. Para ello se divide cada una de las componentes del vector por el módulo y se hace el arco coseno de ese cociente. Es la manera de obtener el ángulo que forma el vector con cada eje:

cos\ \alpha = \frac{r_x}{r_{12}} = \frac{7}{9,11}\ \to\ \alpha = arccos\ \frac{7}{9,11} = 39,8^\circ

Hacemos lo mismo para los ejes "y" y "z":

\beta = arccos\ \frac{5}{9,11} = 56,7^\circ

\gamma = arccos\ \frac{3}{9,11} = 70,8^\circ


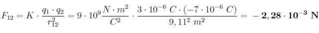
a) La fuerza eléctrica entre ambas cargas, que es de atracción, será:

F_{12} = K\cdot \frac{q_1\cdot q_2}{r_{12}^2} = 9\cdot 10^9\frac{N\cdot m^2}{C^2}\cdot \frac{3\cdot 10^{-6}\ C\cdot (-7\cdot 10^{-6}\ C)}{9,11^2\ m^2} = \bf -2,28\cdot 10^{-3}\ N