Energía cinética y velocidad final de los electrones de un haz acelerado (6760)

, por F_y_Q

En una máquina dental de rayos X, un haz de electrones se acelera mediante una diferencia de potencial de 10 kV. Al final de la aceleración, ¿cuánta energía cinética tiene cada electrón si todos partieron del reposo? ¿Cuál será la velocidad de estos electrones?

P.-S.

Cada uno de los electrones que componen el haz va a sufrir un incremento en su energía cinética como consecuencia del trabajo que realiza la diferencia de potencial sobre ellos:

\Delta E_C = W_e = q_e\cdot \Delta V\ \to\ E_C = 1.6\cdot 10^{-19}\ C\cdot 10^4\ V = \fbox{\color[RGB]{192,0,0}{\bm{1.6\cdot 10^{-15}\ J}}}


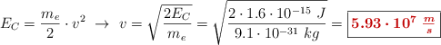
Dado que parten del reposo, la velocidad final que adquieren es:

E_C = \frac{m_e}{2}\cdot v^2\ \to\ v = \sqrt{\frac{2E_C}{m_e}} = \sqrt{\frac{2\cdot 1.6\cdot 10^{-15}\ J}{9.1\cdot 10^{-31}\ kg}} = \fbox{\color[RGB]{192,0,0}{\bm{5.93\cdot 10^7\ \frac{m}{s}}}}