Distancia a la que se produce un campo eléctrico (6966)

, por F_y_Q

Si el campo eléctrico producido por una carga eléctrica de 8\ \mu  C en un punto es de 20\ \textstyle{N\over C} . ¿Qué distancia separa la carga eléctrica del punto en el que se produce el campo eléctrico?

P.-S.

El módulo del campo eléctrico se define como:

\color[RGB]{2,112,20}{\bm{E = K\cdot \frac{q}{d^2}}}

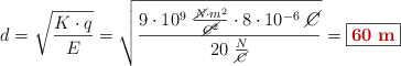
Si despejas el valor de la distancia y sustituyes los datos del enunciado podrás obtener el valor de la distancia:

d = \sqrt{\frac{K\cdot q}{E}} = \sqrt{\frac{9\cdot 10^9\ \frac{\cancel{N}\cdot m^2}{\cancel{C^2}}\cdot 8\cdot 10^{-6}\ \cancel{C}}{20\ \frac{N}{\cancel{C}}}} = \fbox{\color[RGB]{192,0,0}{\bf 60\ m}}