Diferencia de potencial en función del trabajo (3571)

, por F_y_Q

Se tiene una partícula electrizada Q que crea un campo eléctrico y una carga q, cuya carga es +2 mC, que se desplaza entre dos puntos A y B, siendo la energía cinética en B de 2.5 J. Sabiendo que q < Q, determina la diferencia de potencial entre A y B sabiendo que el trabajo realizado para el desplazamiento entre ambos punto ha sido -1.5 J.

P.-S.

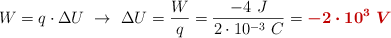
El trabajo realizado por el agente externo es 1.5 J pero la energía cinética con la que llega a B es 2.5 J, eso quiere decir que el trabajo total para hacer el cambio desde A a B debe ser la suma de ambas energías, porque sería la variación de la energía mecánica del sistema, es decir, 4 J (en valor absoluto).

El trabajo eléctrico es igual al producto de la carga que se desplaza por la variación de potencial. Como las cargas son del mismo signo y suponiendo que B está más lejos que A, sería claro que es el sistema hace el trabajo (lo lógico es que las cargas se separen), por lo que el signo de la diferencia de potencial será (-).

W = q\cdot \Delta U\ \to\ \Delta U = \frac{W}{q} = \frac{-4\ J}{2\cdot 10^{-3}\ C} = \color[RGB]{192,0,0}{\bm{-2\cdot 10^3\ V}}}