Carga total y potencial de dos condensadores en paralelo (6924)

, por F_y_Q

Un capacitador tiene una capacidad de 4\cdot 10^{-6}\ F , se carga a una tensión de 10^2\ V y se conecta en paralelo con otro de 8\cdot 10^{-6}\ F cargada a 2\cdot 10^2\ V :

a) ¿Cuál es la carga total antes de la conexión?

b) ¿Cuál es la diferencia de potencial del sistema?

P.-S.

a) La carga total será la suma de las cargas de cada uno de los condensadores:

q_T = q_1 + q_2 = C_1\cdot \Delta V_1 + C_2\cdot \Delta V_2

Solo tienes que sustituir y calcular:

q_T = 4\cdot 10^{-6}\ F\cdot 10^2\ V + 8\cdot 10^{-6}\ F\cdot 2\cdot 10^2\ V = \fbox{\color[RGB]{192,0,0}{\bm{2\cdot 10^{-3}\ C}}}


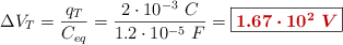
b) Lo primero que debes hacer es calcular la capacidad equivalente de la asociación de los dos condensadores en paralelo:

C_{eq} = C_1 + C_2 = (4\cdot 10^{-6} + 8\cdot 10^{-6})\ F = \color[RGB]{0,112,192}{\bm{1.2\cdot 10^{-5}\ F}}

La diferencia de potencial cuando se conecten será:

\Delta V_T = \frac{q_T}{C_{eq}} = \frac{2\cdot 10^{-3}\ C}{1.2\cdot 10^{-5}\ F} = \fbox{\color[RGB]{192,0,0}{\bm{1.67\cdot 10^2\ V}}}