Carga que se mueve entre dos placas cargadas sabiendo el trabajo y el potencial (6758)

, por F_y_Q

Si se requieren 1.6\cdot 10^{−5}\ J para mover una partícula con carga positiva entre dos placas paralelas cargadas:

a) ¿Cuál será la magnitud de la carga si las placas están conectadas a una batería de 6.0 V?

b) ¿Se movió la carga de la placa negativa a la positiva, o de la placa positiva a la negativa?

P.-S.

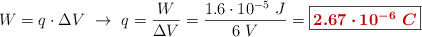
a) El trabajo necesario para mover la carga es igual al producto de la carga por el diferencia de potencial entre las placas:

W = q\cdot \Delta V\ \to\ q = \frac{W}{\Delta V} = \frac{1.6\cdot 10^{-5}\ J}{6\ V} = \fbox{\color[RGB]{192,0,0}{\bm{2.67\cdot 10^{-6}\ C}}}


b) Como el trabajo es positivo, la carga se habrá movido contra la fuerza del campo, es decir, desde la placa negativa hacia la placa positiva.