Área de las armaduras de un condensador plano sabiendo su capacidad y la distancia entre ellas (7044)

, por F_y_Q

Calcula el área de las placas de un condensador plano, de capacidad 4.4 pF, si sus armaduras están separadas 4 mm. ¿Qué carga almacena si se conecta a una fuente de 400 V?

P.-S.

A partir de la ecuación de la capacidad de un condensador, puedes despejar el valor del área de las armaduras:

C = \varepsilon_0\cdot \frac{A}{d}\ \to\ \color[RGB]{2,112,20}{\bm{A = \frac{d\cdot C}{\varepsilon_0}}

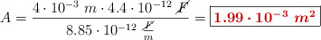
Si sustituyes en la ecuación anterior y calculas:

A = \frac{4\cdot 10^{-3}\ m\cdot 4.4\cdot 10^{-12}\ \cancel{F}}{8.85\cdot 10^{-12}\ \frac{\cancel{F}}{m}} = \fbox{\color[RGB]{192,0,0}{\bm{1.99\cdot 10^{-3}\ m^2}}}


La carga la calculas despejando de la ecuación siguiente:

C = \frac{Q}{V}\ \to\ Q = C\cdot V = 4.4\cdot 10^{-12}\ F\cdot 400\ V = \fbox{\color[RGB]{192,0,0}{\bm{1.76\cdot 10^{-9}\ C}}}