Aplicación de la ley de Coulomb (2239)

, por F_y_Q

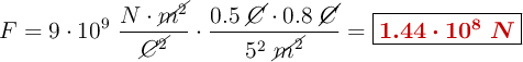
¿Con qué fuerza se atraen o repelen dos cargas eléctricas de 0.5 y 0.8 culombios si se hallan separadas por una distancia de 5 metros?

P.-S.

Aplicas la ecuación de la ley de Coulomb:

\color[RGB]{2,112,20}{\bm{F = K\cdot \frac{q_1\cdot q_2}{d^2}}}

Observa que conoces todos los datos que necesitas para poder calcular la fuerza. Solo tienes que sustituir en la ecuación:

F = 9\cdot 10^9\ \frac{N\cdot \cancel{m^2}}{\cancel{C^2}}\cdot \frac{0.5\ \cancel{C}\cdot 0.8\ \cancel{C}}{5^2\ \cancel{m^2}} = \fbox{\color[RGB]{192,0,0}{\bm{1.44\cdot 10^8\ N}}}