Fuerza eléctrica entre dos cargas en línea (6694)

, por F_y_Q

Determina la fuerza resultante entre dos cargas puntuales, ubicadas en línea y en el vacío, donde q_1 = 5 \cdot 10^{-6}\ C, q_2 = -2\cdot 10^{-6}\ C y r = 0.1 m.

P.-S.

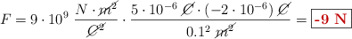
Si aplicas la ley de Coulomb puedes calcular esa fuerza:

F = K\cdot \frac{q_1\cdot q_2}{r^2}

Sustituyes los datos del enunciado:

F = 9\cdot 10^9\ \frac{N\cdot \cancel{m^2}}{\cancel{C^2}}\cdot \frac{5\cdot 10^{-6}\ \cancel{C}\cdot (-2\cdot 10^{-6})\ \cancel{C}}{0.1^2\ \cancel{m^2}} = \fbox{\color[RGB]{192,0,0}{\bf -9\ N}}