Fuerza de atracción entre dos cargas en línea (6722)

, por F_y_Q

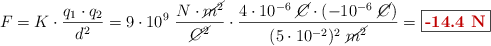
Se tienen dos cargas puntuales, en línea, de valores q_1 = 4\ \mu C y q_2 = -1\ \mu C que están separadas una distancia de 5 cm. Determina la fuerza electrostática entre ellas.

P.-S.

En este ejercicio debes aplicar la ley de Coulomb pero teniendo cuidado con las unidades, sobre todo la de la distancia entre las cargas, que debe estar expresada en metros. Recuerda que el prefijo micro- (\mu) equivale a 10^{-6}:

F = K\cdot \frac{q_1\cdot q_2}{d^2} = 9\cdot 10^9\ \frac{N\cdot \cancel{m^2}}{\cancel{C^2}}\cdot \frac{4\cdot 10^{-6}\ \cancel{C}\cdot (-10^{-6}\ \cancel{C})}{(5\cdot 10^{-2})^2\ \cancel{m^2}} = \fbox{\color[RGB]{192,0,0}{\bf -14.4\ N}}



Descarga el enunciado y la resolución del problema en formato EDICO si lo necesitas.