Valor de dos cargas eléctricas que se atraen a una distancia dada (7136)

, por F_y_Q

¿Cuáles son los valores de dos cargas eléctricas sobre las que actúa una fuerza electrostática de -14 400 N cuando está separadas una distancia de 2 mm, sabiendo que el valor de una carga es el doble que el de la otra?

P.-S.

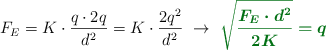
Este problema está basado en la ley de Coulomb pero tiene una característica que lo hace un poco más complejo y es que las cargas están relacionadas entre sí. Si llamas q al valor de una carga, la otra carga tendrá un valor de 2q. Ahora puedes escribir la ecuación de la ley de Coulomb, pero usando estos valores para las cargas, y luego despejas el valor de la carga q:

F_E = K\cdot \frac{q\cdot 2q}{d^2} = K\cdot \frac{2q^2}{d^2}\ \to\ \color[RGB]{2,112,20}{\bm{\sqrt{\frac{F_E\cdot d^2}{2K}} = q}}

Es importante que tengas en cuenta que debes considerar la fuerza electrostática en valor absoluto. El signo solo te indica que se trata de una fuerza de atracción pero no puedes ponerlo en el radicando porque no podrías resolver la ecuación:

q_1 = \sqrt{\frac{(2\cdot 10^{-3})^2\ \cancel{m^2}\cdot 14\ 400\ \cancel{N}}{2\cdot 9\cdot 10^9\ \frac{\cancel{N}\cdot \cancel{m^2}}{C^2}}} = \fbox{\color[RGB]{192,0,0}{\bm{1.8\cdot 10^{-6}\ C}}}


El valor de la otra carga será el doble del valor calculado para la primera pero, y esto es importante, con el signo contrario:

\fbox{\color[RGB]{192,0,0}{\bm{q_2 = -3.6\cdot 10^{-6}\ C}}}



Descarga el enunciado y la resolución del problema en formato EDICO si lo necesitas.